我要收藏
公共资源调用站点
文章分享
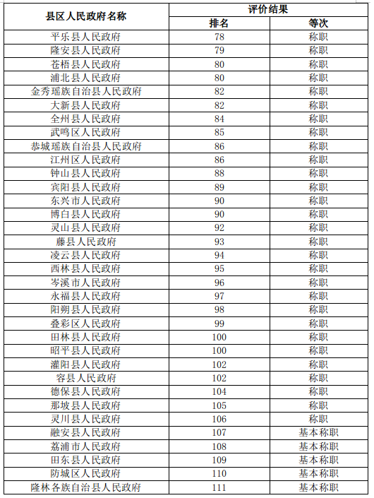
为贯彻落实《广西壮族自治区教育督导规定》《自治区党委办公厅 自治区人民政府办公厅印发关于深化新时代教育督导体制机制改革的实施意见》(厅发〔2020〕26号)精神,督促各级人民政府及县(市、区)党政主要领导干部依法履行教育工作职责,根据《广西壮族自治区人民政府办公厅关于印发对全区各级人民政府履行教育职责评价工作方案的通知》(桂政办发〔2017〕143号)和《自治区教育督导委员会关于印发2022年度市县人民政府履行教育职责评价指标及评分办法的通知》(桂教督导〔2023〕2号)精神,2023年3月以来,我区认真组织开展市县人民政府2022年度履行教育职责情况评价工作。全区14个设区市、111个县(市、区)开展了自查自评,各市组织对所辖县(市、区)进行了复核,自治区人民政府教育督导委员会办公室组织了数据审核并对各市、县(市、区)进行了实地核查。2023年11月6日,自治区人民政府教育督导委员会对评价结果进行审定,经审核确定,有8个市及63个县(市、区)人民政府年度评价结果为优秀等次,有4个市及43个县(市、区)人民政府年度评价结果为称职等次,有2个市及5个县(市、区)人民政府年度评价结果为基本称职等次(具体详见附件)。
希望全区市、县(市、区)人民政府以优秀单位为榜样,切实加强对教育工作的领导,不断优化教育发展环境,依法保障教育经费投入,进一步加强教师队伍建设,全面提升教育发展水平,努力办好让人民群众满意的教育。
2022年度设区市人民政府履行教育职责评价结果

2022年度县级人民政府履行教育职责评价结果



文件下载:
关联文件: